Официальное опубликование правовых актов
ОФИЦИАЛЬНОЕ ОПУБЛИКОВАНИЕ
Приказ администрации Краснодарского края от 30.01.2023 № 34-КН
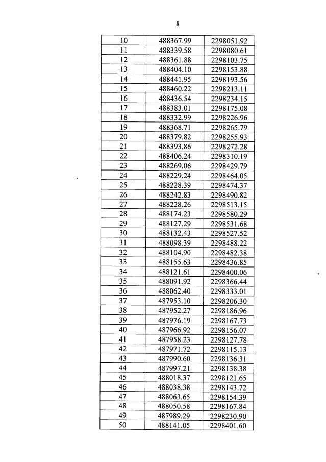
"Об установлении зон охраны, утверждении режимов использования земель и требований к градостроительным регламентам в границах территорий данных зон объекта культурного наследия регионального значения "Усадьба помещика Щербака З.Ф.: конюшни; дом экономки; дом для прислуги; Дом помещика З.Ф. Щербака. Здесь размещалась опытная станция совхоза "Хуторок" и впоследствии Институт сои и клещевины. В 1920 г. В Кубанском научно-исследовательском институте по испытанию тракторов и сельхозмашин работал Герой Социалистического Труда В.Я. Первицкий; погреба; общежитие для рабочих; производственное здание; усадебный парк, декоративный пруд усадебного парка. Усадьбу в детские годы посещал известный писатель А.И. Солженицын", Краснодарский край, муниципальный район Новокубанский, городское поселение Новокубанское, г. Новокубанск, ул. Строительная, 16 (конюшни), ул. Ленинградская, 24 (дом экономки), ул. Ленинградская, 22 (дом для прислуги), ул. Кирьянова, 15 (Дом помещика З.Ф. Щербака. Здесь размещалась опытная станция совхоза "Хуторок" и впоследствии Институт сои и клещевины. В 1920 г. в Кубанском научно-исследовательском институте по испытанию тракторов и сельхозмашин работал Герой Социалистического Труда В.Я. Первицкий), ул. Кирьянова, 15/1 (погреба), ул. Кирьянова, 25 (общежитие для рабочих), ул. Кирьянова, 15/2 (производственное здание), ул. Кирьянова, ул. Ленинградская (усадебный парк, декоративный пруд усадебного парка)"
Номер опубликования: 2301202302060010
Дата опубликования: 06.02.2023
Страница №11 из 21:
Увеличить