Официальное опубликование правовых актов
ОФИЦИАЛЬНОЕ ОПУБЛИКОВАНИЕ
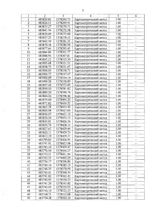
Приказ министерства природных ресурсов Краснодарского края от 19.01.2023 № 55
"Об установлении зон санитарной охраны источников питьевого и хозяйственно-бытового водоснабжения общества с ограниченной ответственностью "Краснодар Водоканал" в муниципальном образовании город Краснодар"
Номер опубликования: 2301202301260002
Дата опубликования: 26.01.2023
Страница №9 из 12:
Увеличить