Официальное опубликование правовых актов
ОФИЦИАЛЬНОЕ ОПУБЛИКОВАНИЕ
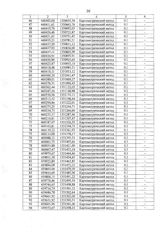
Приказ министерства природных ресурсов Краснодарского края от 19.01.2023 № 54
"Об установлении и изменении зон санитарной охраны источников питьевого и хозяйственно-бытового водоснабжения общества с ограниченной ответственностью "Ильский НПЗ им. А.А. Шамара" в муниципальном образовании Северский район"
Номер опубликования: 2301202301260001
Дата опубликования: 26.01.2023
Страница №33 из 37:
Увеличить