Официальное опубликование правовых актов
ОФИЦИАЛЬНОЕ ОПУБЛИКОВАНИЕ
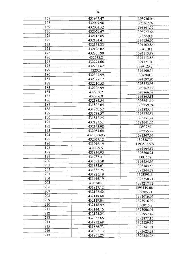
Приказ министерства природных ресурсов Краснодарского края от 28.12.2022 № 2001
"О внесении изменений в приказ министерства природных ресурсов Краснодарского края от 3 декабря 2021 г. № 1838 "Об установлении границ лесопаркового зеленого пояса города Горячий Ключ"
Номер опубликования: 2301202301040049
Дата опубликования: 04.01.2023
Страница №17 из 24:
Увеличить