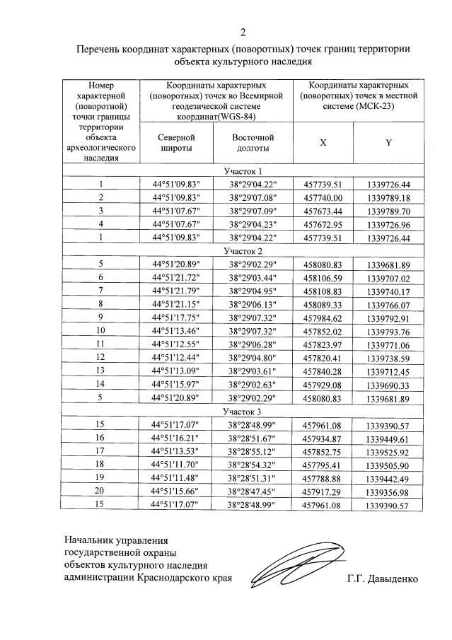
Приказ администрации Краснодарского края от 20.12.2022 № 1378-КН
"Об утверждении границ и режима использования территории выявленного объекта культурного наследия "Курганный могильник "Зыбза 32" (7 насыпей)", Краснодарский край, Северский район, п. Черноморский, западная окраина"
"Об утверждении границ и режима использования территории выявленного объекта культурного наследия "Курганный могильник "Зыбза 32" (7 насыпей)", Краснодарский край, Северский район, п. Черноморский, западная окраина"
Номер опубликования: 2301202212270029
Дата опубликования:
27.12.2022
