Приказ администрации Краснодарского края от 19.12.2022 № 1340-КН
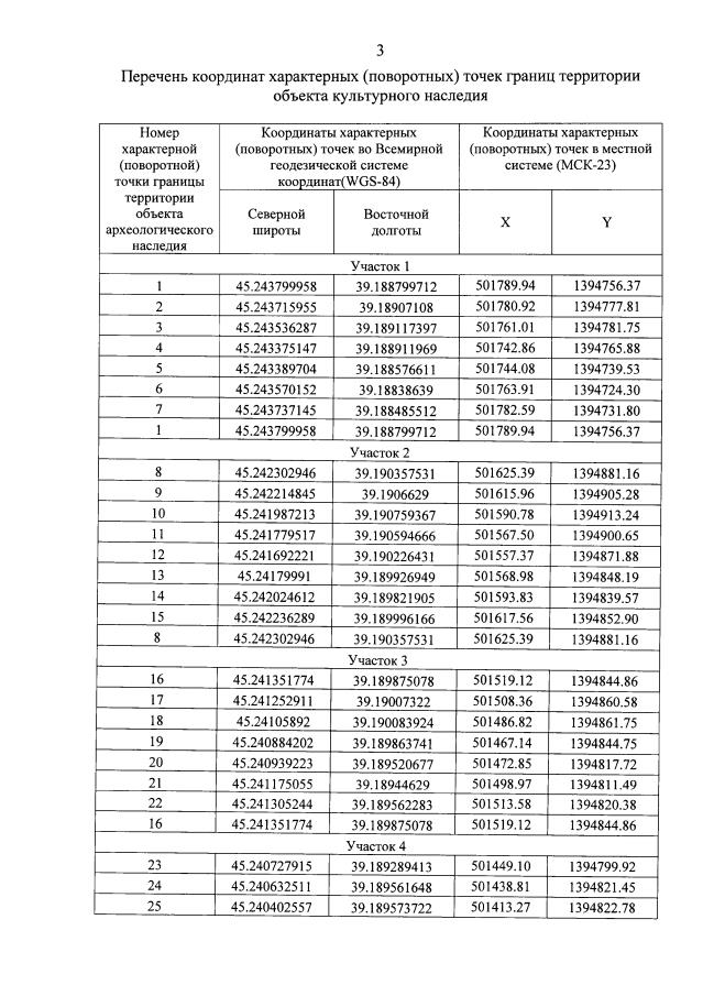
"Об утверждении границ и режима использования территории объекта культурного наследия федерального значения "Курганная группа "Динская 32" (4 насыпи)", Краснодарский край, Динской район, ст-ца Динская, 0,3 км от станицы, по дороге в сторону г. Краснодара, 2,8 км к западо-северо-западу от северной окраины станицы"
"Об утверждении границ и режима использования территории объекта культурного наследия федерального значения "Курганная группа "Динская 32" (4 насыпи)", Краснодарский край, Динской район, ст-ца Динская, 0,3 км от станицы, по дороге в сторону г. Краснодара, 2,8 км к западо-северо-западу от северной окраины станицы"
Номер опубликования: 2301202212260029
Дата опубликования:
26.12.2022
