Официальное опубликование правовых актов
ОФИЦИАЛЬНОЕ ОПУБЛИКОВАНИЕ
Приказ администрации Краснодарского края от 19.12.2022 № 1342-КН
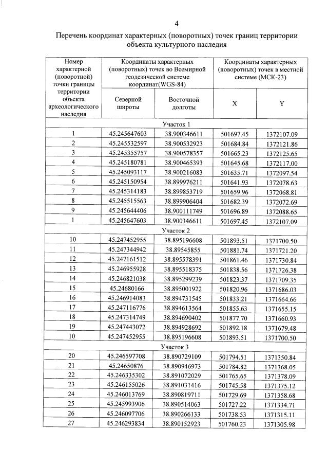
"Об утверждении границ и режима использования территории объекта культурного наследия федерального значения "Курганная группа "Нововеличковская 35" (3 насыпи)", эпоха бронзы - позднее средневековье, Краснодарский край, Динской район, ст-ца Нововеличковская, 4,2 км к востоко-юго-востоку от юго-восточного угла станицы"
Номер опубликования: 2301202212260026
Дата опубликования: 26.12.2022
Страница №6 из 8:
Увеличить