Официальное опубликование правовых актов
ОФИЦИАЛЬНОЕ ОПУБЛИКОВАНИЕ
Приказ администрации Краснодарского края от 15.12.2022 № 1331-КН
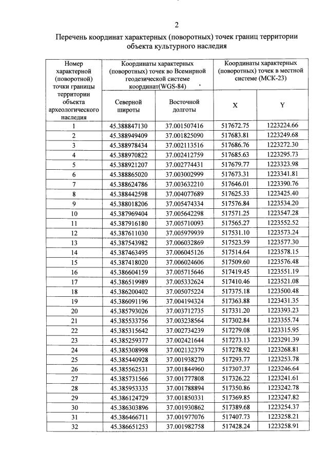
"Об утверждении границ и режима использования территории выявленного объекта культурного наследия "Поселение "Кучугуры 15", Краснодарский край, Темрюкский район, пос. Кучугуры, 2,1 км к юго-востоку от восточной окраины поселка"
Номер опубликования: 2301202212220009
Дата опубликования: 22.12.2022
Страница №4 из 6:
Увеличить