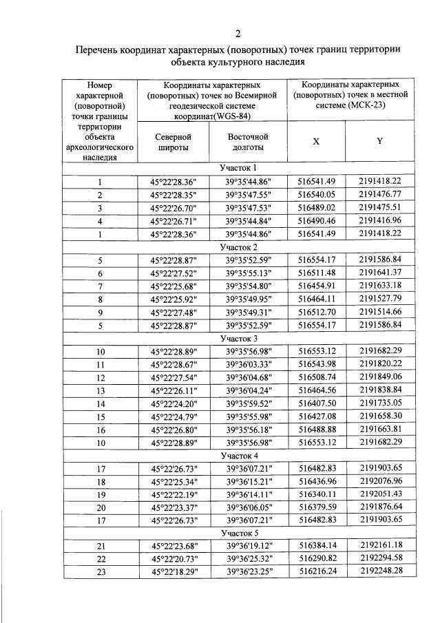
Приказ администрации Краснодарского края от 14.12.2022 № 1236-КН
"Об утверждении границ и режима использования территории объекта культурного наследия федерального значения "Курганная группа", эпоха бронзы - позднее средневековье, Краснодарский край, Усть-Лабинский район, ст-ца Кирпильская, 3,5 км к западу от станицы, вдоль шоссе в ст-цу Раздольную"
"Об утверждении границ и режима использования территории объекта культурного наследия федерального значения "Курганная группа", эпоха бронзы - позднее средневековье, Краснодарский край, Усть-Лабинский район, ст-ца Кирпильская, 3,5 км к западу от станицы, вдоль шоссе в ст-цу Раздольную"
Номер опубликования: 2301202212210060
Дата опубликования:
21.12.2022
