Официальное опубликование правовых актов
ОФИЦИАЛЬНОЕ ОПУБЛИКОВАНИЕ
Приказ администрации Краснодарского края от 14.12.2022 № 1253-КН
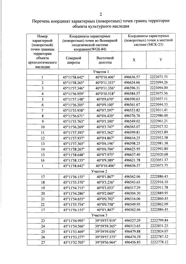
"Об утверждении границ и режима использования территории объекта культурного наследия федерального значения "Курганная группа", эпоха бронзы - средневековье, Краснодарский край, Усть-Лабинский район, х. Саратовский (х. Возрождение), 0,6 км к юго-юго-западу от хутора"
Номер опубликования: 2301202212210046
Дата опубликования: 21.12.2022
Страница №4 из 6:
Увеличить