Официальное опубликование правовых актов
ОФИЦИАЛЬНОЕ ОПУБЛИКОВАНИЕ
Приказ администрации Краснодарского края от 13.12.2022 № 1159-КН
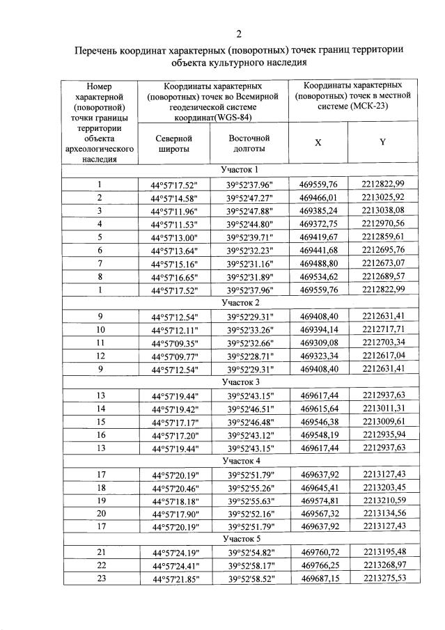
"Об утверждении границ и режима использования территории объекта культурного наследия федерального значения "Курганная группа "Новоалексеевское" (10 насыпей)", эпоха бронзы - позднее средневековье, Краснодарский край, Белореченский район, с. Новоалексеевское, 0,8 км к востоку от села"
Номер опубликования: 2301202212200032
Дата опубликования: 20.12.2022
Страница №4 из 6:
Увеличить