Официальное опубликование правовых актов
ОФИЦИАЛЬНОЕ ОПУБЛИКОВАНИЕ
Приказ администрации Краснодарского края от 15.11.2022 № 945-КН
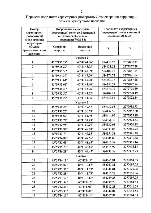
"Об утверждении границ и режима использования территории выявленного объекта культурного наследия "Курганная группа "Банковский 2", Краснодарский край, Новопокровский район, 5,75 км к северо-востоку от северной окраины ст-цы Новопокровская (Сахарный завод), к северу от балки Широкой"
Номер опубликования: 2301202211220012
Дата опубликования: 22.11.2022
Страница №4 из 6:
Увеличить