Официальное опубликование правовых актов
ОФИЦИАЛЬНОЕ ОПУБЛИКОВАНИЕ
Приказ администрации Краснодарского края от 14.11.2022 № 939-КН
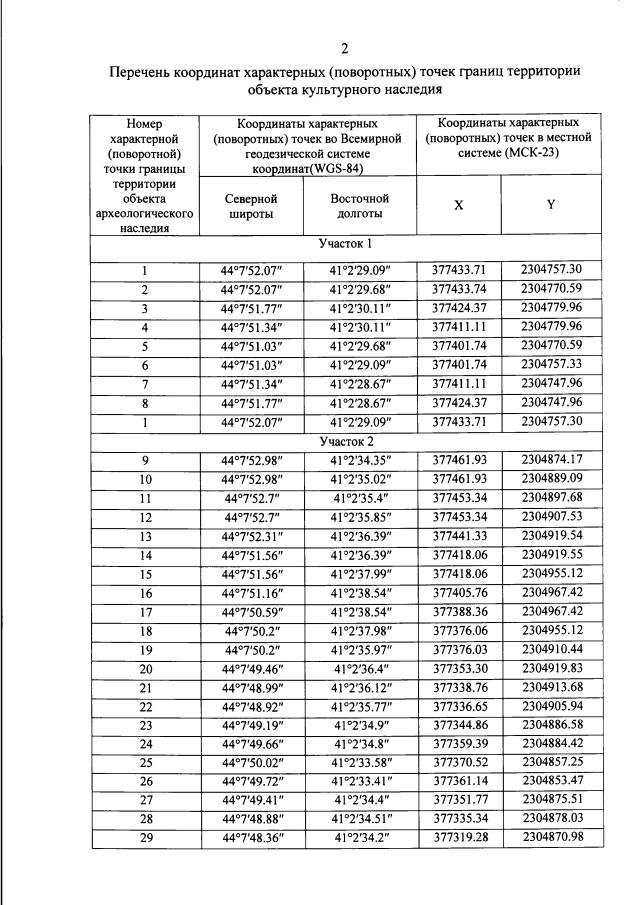
"Об утверждении границ и режима использования территории объекта культурного наследия федерального значения "Курганная группа (14 насыпей)", эпоха бронзы – средневековье, Краснодарский край, Лабинский район, ст–ца Ахметовская, ул. Набережная, на первой террасе правого берега р. Большая Лаба"
Номер опубликования: 2301202211210019
Дата опубликования: 21.11.2022
Страница №4 из 6:
Увеличить