Официальное опубликование правовых актов
ОФИЦИАЛЬНОЕ ОПУБЛИКОВАНИЕ
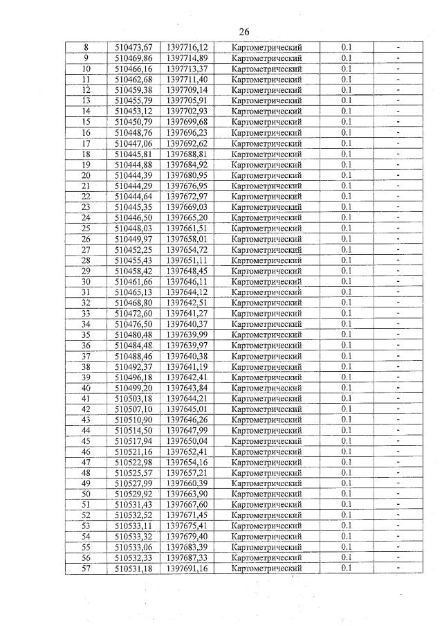
Приказ министерства природных ресурсов Краснодарского края от 10.11.2022 № 1730
"Об установлении зон санитарной охраны источников питьевого и хозяйственно-бытового водоснабжения акционерного общества "Тандер" в муниципальном образовании Динской район"
Номер опубликования: 2301202211170033
Дата опубликования: 17.11.2022
Страница №28 из 54:
Увеличить