Официальное опубликование правовых актов
ОФИЦИАЛЬНОЕ ОПУБЛИКОВАНИЕ
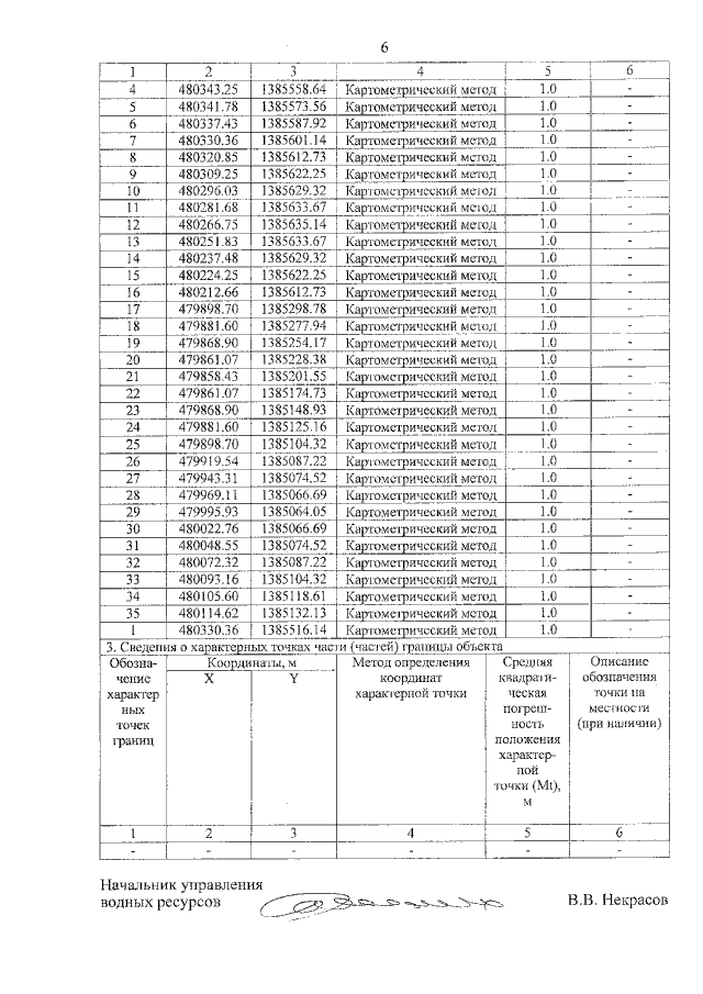
Приказ министерства природных ресурсов Краснодарского края от 10.11.2022 № 1731
"Об установлении зон санитарной охраны источника питьевого и хозяйственно-бытового водоснабжения общества с ограниченной ответственностью "ВБ Кубань" в муниципальном образовании город Краснодар"
Номер опубликования: 2301202211170030
Дата опубликования: 17.11.2022
Страница №8 из 10:
Увеличить