Официальное опубликование правовых актов
ОФИЦИАЛЬНОЕ ОПУБЛИКОВАНИЕ
Приказ администрации Краснодарского края от 11.11.2022 № 919-КН
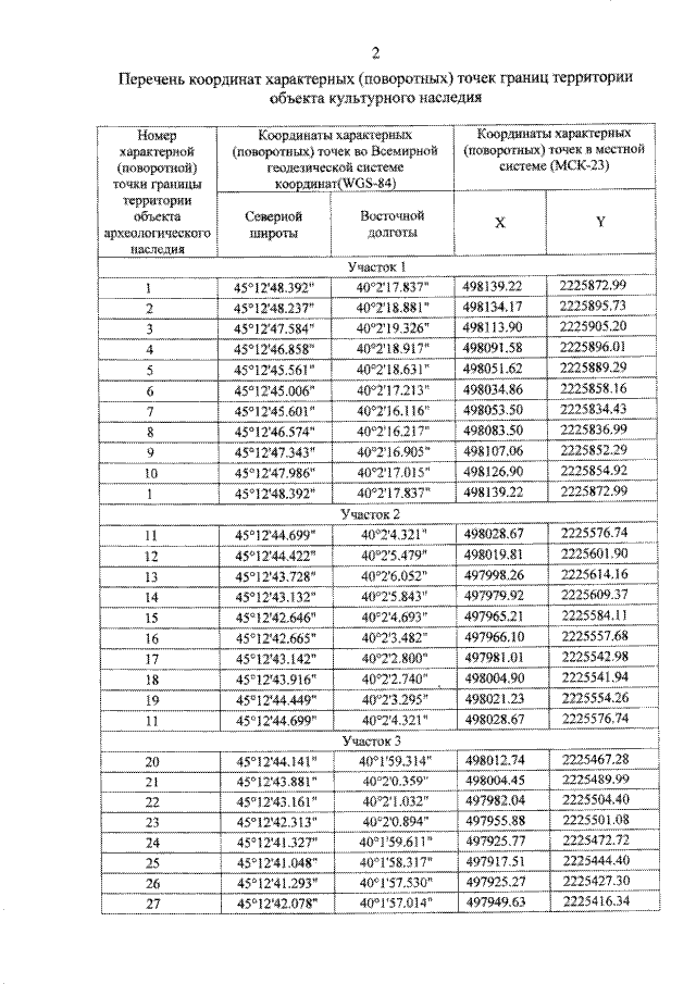
"Об утверждении границ и режима использования территории объекта культурного наследия федерального значения "Курганная группа", эпоха бронзы – позднее средневековье, Краснодарский край, Усть–Лабинский район, х. Веселый, 1,4 км к северо–западу от хутора"
Номер опубликования: 2301202211170017
Дата опубликования: 17.11.2022
Страница №4 из 6:
Увеличить