Официальное опубликование правовых актов
ОФИЦИАЛЬНОЕ ОПУБЛИКОВАНИЕ
Приказ администрации Краснодарского края от 10.11.2022 № 907-КН
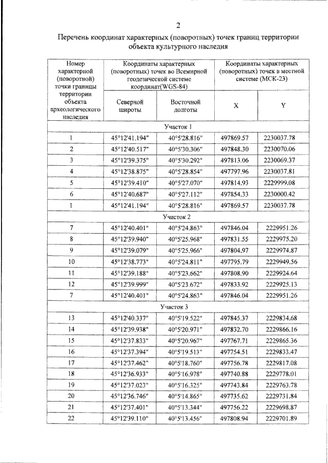
"Об утверждении границ и режима использования территории объекта культурного наследия федерального значения "Курганная группа", эпоха бронзы – позднее средневековье, Краснодарский край, Усть–Лабинский район, х. Калининский, 1,775 км к северо–востоку от хутора"
Номер опубликования: 2301202211170007
Дата опубликования: 17.11.2022
Страница №4 из 6:
Увеличить