Официальное опубликование правовых актов
ОФИЦИАЛЬНОЕ ОПУБЛИКОВАНИЕ
Приказ администрации Краснодарского края от 10.11.2022 № 909-КН
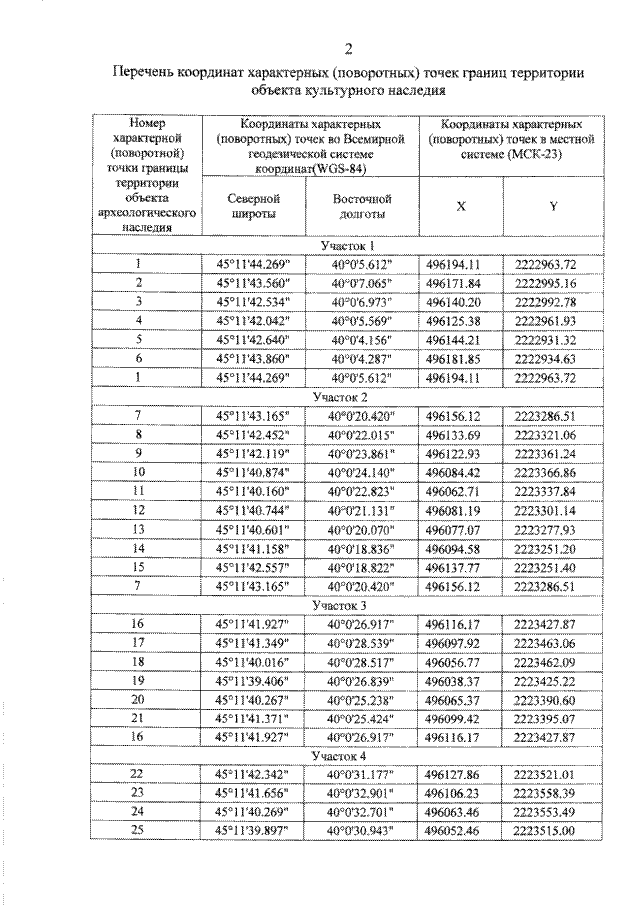
"Об утверждении границ и режима использования территории объекта культурного наследия федерального значения "Курганная группа", эпоха бронзы – средневековье, Краснодарский край, Усть–Лабинский район, х. Саратовский (х. Возрождение), 1 км к югу от хутора"
Номер опубликования: 2301202211170004
Дата опубликования: 17.11.2022
Страница №4 из 6:
Увеличить