Официальное опубликование правовых актов
ОФИЦИАЛЬНОЕ ОПУБЛИКОВАНИЕ
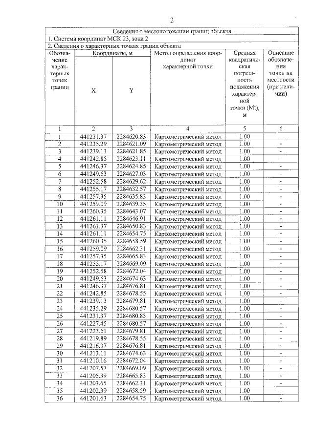
Приказ министерства природных ресурсов Краснодарского края от 13.10.2022 № 1611
"Об установлении зон санитарной охраны источника питьевого и хозяйственно-бытового водоснабжения акционерного общества "Агронова" в муниципальном образовании Лабинский район"
Номер опубликования: 2301202210200005
Дата опубликования: 20.10.2022
Страница №4 из 12:
Увеличить