Официальное опубликование правовых актов
ОФИЦИАЛЬНОЕ ОПУБЛИКОВАНИЕ
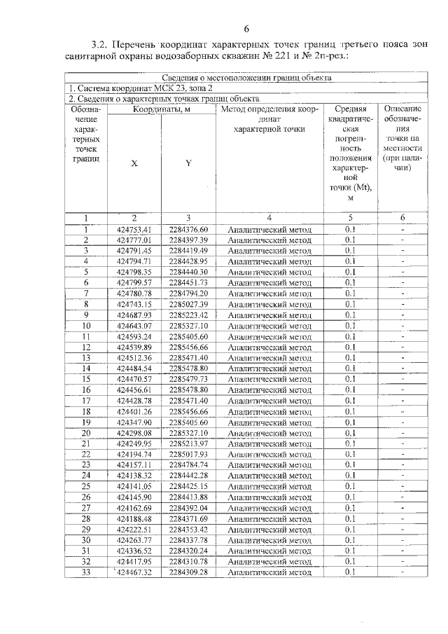
Приказ министерства природных ресурсов Краснодарского края от 13.10.2022 № 1615
"Об установлении зон санитарной охраны источников питьевого и хозяйственно-бытового водоснабжения общества с ограниченной ответственностью "Спутник" в муниципальном образовании Лабинский район"
Номер опубликования: 2301202210200001
Дата опубликования: 20.10.2022
Страница №8 из 11:
Увеличить