Официальное опубликование правовых актов
ОФИЦИАЛЬНОЕ ОПУБЛИКОВАНИЕ
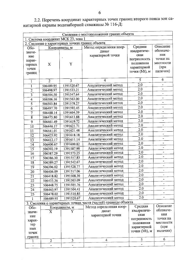
Приказ министерства природных ресурсов Краснодарского края от 07.09.2022 № 1429
"Об установлении зон санитарной охраны источников питьевого и хозяйственно-бытового водоснабжения муниципального общества с ограниченной ответственностью "Пластуновское ЖКХ" в муниципальном образовании Динской район"
Номер опубликования: 2301202209140005
Дата опубликования: 14.09.2022
Страница №8 из 20:
Увеличить