Официальное опубликование правовых актов
ОФИЦИАЛЬНОЕ ОПУБЛИКОВАНИЕ
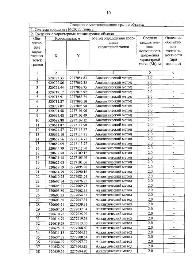
Приказ министерства природных ресурсов Краснодарского края от 07.09.2022 № 1425
"Об установлении зон санитарной охраны источников питьевого и хозяйственно-бытового водоснабжения общества с ограниченной ответственностью "Гирей-Сахар" в муниципальном образовании Гулькевичский район"
Номер опубликования: 2301202209140004
Дата опубликования: 14.09.2022
Страница №12 из 32:
Увеличить