Официальное опубликование правовых актов
ОФИЦИАЛЬНОЕ ОПУБЛИКОВАНИЕ
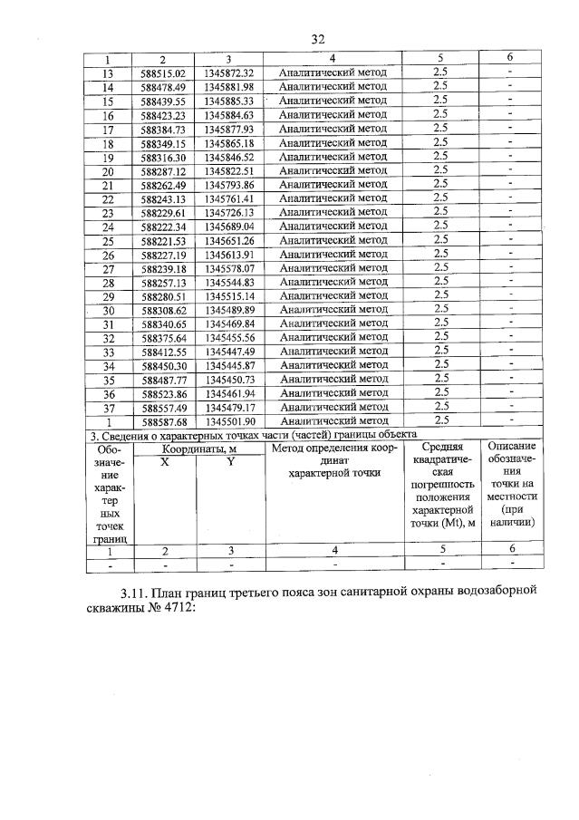
Приказ министерства природных ресурсов Краснодарского края от 07.09.2022 № 1430
"Об установлении зон санитарной охраны источников питьевого и хозяйственно-бытового водоснабжения открытого акционерного общества Специализированного семеноводческого "Племзавод "Бейсуг" в муниципальном образовании Приморско-Ахтарский район"
Номер опубликования: 2301202209140003
Дата опубликования: 14.09.2022
Страница №34 из 40:
Увеличить