Официальное опубликование правовых актов
ОФИЦИАЛЬНОЕ ОПУБЛИКОВАНИЕ
Приказ администрации Краснодарского края от 05.09.2022 № 751-КН
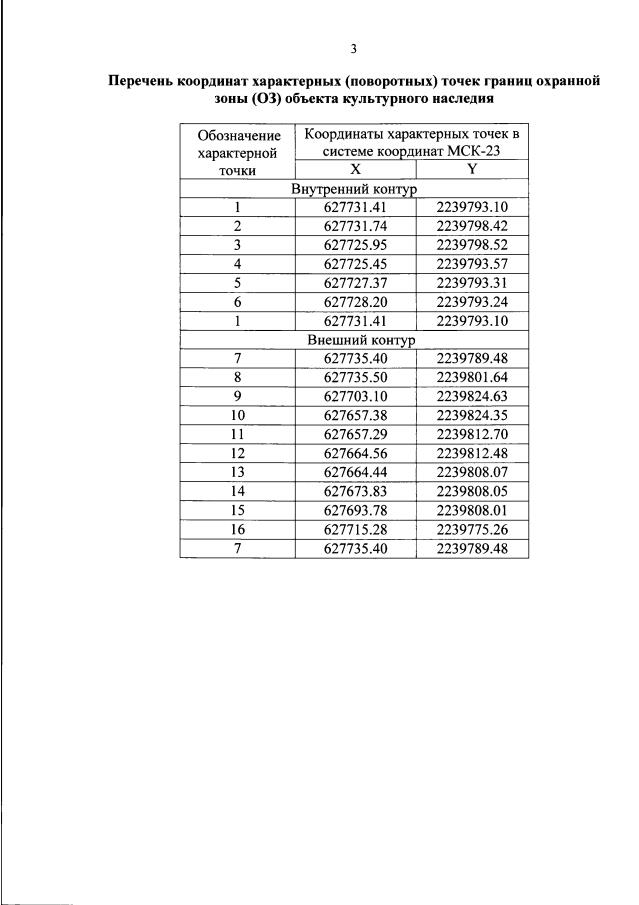
"Об утверждении границ и режима использования территории, а также зон охраны, режимов использования земель и требований к градостроительным регламентам в границах территорий данных зон объекта культурного наследия регионального значения "Братская могила 2 советских воинов, погибших в боях с фашистскими захватчиками", 1943 г., Краснодарский край, Крыловский район, х. Лобова Балка, ул. Первомайская (центр хутора)"
Номер опубликования: 2301202209120003
Дата опубликования: 12.09.2022
Страница №10 из 17:
Увеличить