Официальное опубликование правовых актов
ОФИЦИАЛЬНОЕ ОПУБЛИКОВАНИЕ
Приказ администрации Краснодарского края от 03.08.2022 № 669-КН
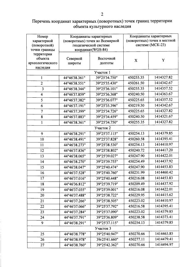
"Об утверждении границ и режима использования территории выявленного объекта культурного наследия "Курганная группа "Марта-1", Краснодарский край, город Горячий ключ, 1,235 км к северо-западу от ст-цы Мартанской, на левом берегу р. Марта"
Номер опубликования: 2301202208110023
Дата опубликования: 11.08.2022
Страница №4 из 6:
Увеличить