Официальное опубликование правовых актов
ОФИЦИАЛЬНОЕ ОПУБЛИКОВАНИЕ
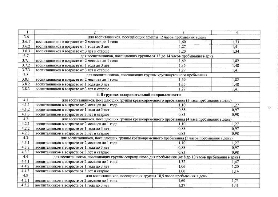
Приказ министерства образования, науки и молодежной политики Краснодарского края от 27.07.2022 № 1719
"Об утверждении отдельных коэффициентов, предусмотренных Законом Краснодарского края от 3 марта 2010 г. № 1911-КЗ "О наделении органов местного самоуправления муниципальных образований Краснодарского края государственными полномочиями в области образования", и о признании утратившими силу некоторых приказов министерства образования, науки и молодежной политики Краснодарского края"
Номер опубликования: 2301202208040017
Дата опубликования: 04.08.2022
Страница №8 из 19:
Увеличить