Официальное опубликование правовых актов
ОФИЦИАЛЬНОЕ ОПУБЛИКОВАНИЕ
Приказ администрации Краснодарского края от 14.07.2022 № 564-КН
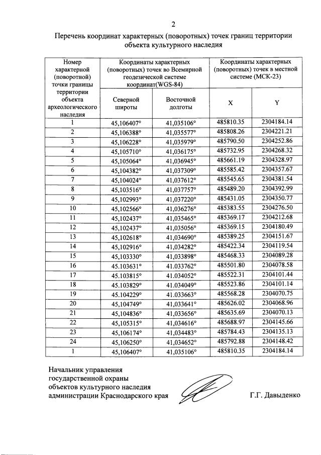
"Об утверждении границ и режима использования территории объекта культурного наследия федерального значения "Новокубанское городище", VIII–X вв., Краснодарский край, Новокубанский район, г. Новокубанск, ул. Гагарина"
Номер опубликования: 2301202207210003
Дата опубликования: 21.07.2022
Страница №4 из 5:
Увеличить