Официальное опубликование правовых актов
ОФИЦИАЛЬНОЕ ОПУБЛИКОВАНИЕ
Приказ администрации Краснодарского края от 08.07.2022 № 550-КН
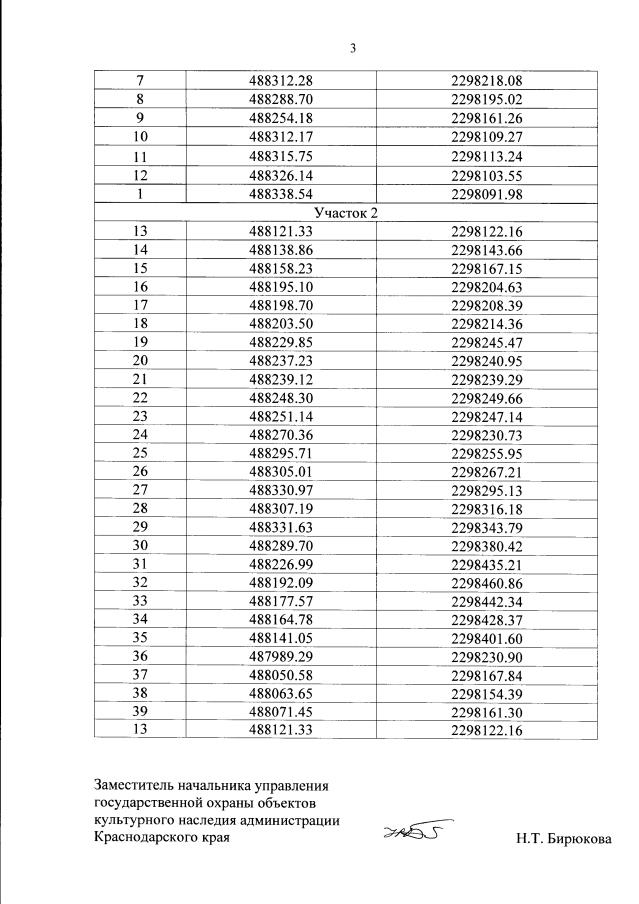
"О включении выявленного объекта культурного наследия "Усадьба помещика Щербака З.Ф.: конюшни; дом экономки; дом для прислуги; Дом помещика З.Ф. Щербака. Здесь размещалась опытная станция совхоза "Хуторок" и впоследствии Институт сои и клещевины. В 1920 г. в Кубанском научно–исследовательском институте по испытанию тракторов и сельхозмашин работал Герой Социалистического Труда В.Я. Первицкий; погреба; общежитие для рабочих; производственное здание; усадебный парк, декоративный пруд усадебного парка. Усадьбу в детские годы посещал известный писатель А.И. Солженицын", Краснодарский край, муниципальный район Новокубанский, городское поселение Новокубанское, г. Новокубанск, ул. Строительная, 16 (конюшни), ул. Ленинградская, 24 (дом экономки), ул. Ленинградская, 22 (дом для прислуги), ул. Кирьянова, 15 (Дом помещика З.Ф. Щербака. Здесь размещалась опытная станция совхоза "Хуторок" и впоследствии Институт сои и клещевины. В 1920 г. в Кубанском научно–исследовательском институте по испытанию тракторов и сельхозмашин работал Герой Социалистического Труда В.Я. Первицкий), ул. Кирьянова, 15/1 (погреба), ул. Кирьянова, 25 (общежитие для рабочих), ул. Кирьянова, 15/2 (производственное здание), ул. Кирьянова, ул. Ленинградская (усадебный парк, декоративный пруд усадебного парка), в единый государственный реестр объектов культурного наследия (памятников истории и культуры) народов Российской Федерации в качестве объекта культурного наследия регионального значения, утверждении его границ и режима использования территории"
Номер опубликования: 2301202207150030
Дата опубликования: 15.07.2022
Страница №6 из 10:
Увеличить