Официальное опубликование правовых актов
ОФИЦИАЛЬНОЕ ОПУБЛИКОВАНИЕ
Приказ администрации Краснодарского края от 07.07.2022 № 536-КН
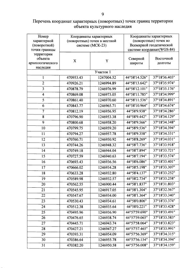
"Об утверждении границ и режима использования территории выявленного объекта культурного наследия "Усадьба", Краснодарский край, город-курорт Анапа, х. Воскресенский, юго-западная окраина хутора"
Номер опубликования: 2301202207150011
Дата опубликования: 15.07.2022
Страница №11 из 22:
Увеличить