Официальное опубликование правовых актов
ОФИЦИАЛЬНОЕ ОПУБЛИКОВАНИЕ
Приказ администрации Краснодарского края от 07.07.2022 № 534-КН
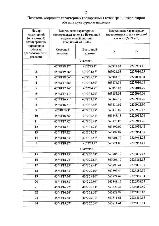
"Об утверждении границ и режима использования территории выявленного объекта культурного наследия "Курганная группа "Краснооктябрьская 7" (5 насыпей)", Краснодарский край, Тихорецкий район, ст-ца Краснооктябрьская, в 3,92 км к западу от школы станицы"
Номер опубликования: 2301202207150008
Дата опубликования: 15.07.2022
Страница №4 из 6:
Увеличить