Официальное опубликование правовых актов
ОФИЦИАЛЬНОЕ ОПУБЛИКОВАНИЕ
Приказ администрации Краснодарского края от 04.07.2022 № 503-КН
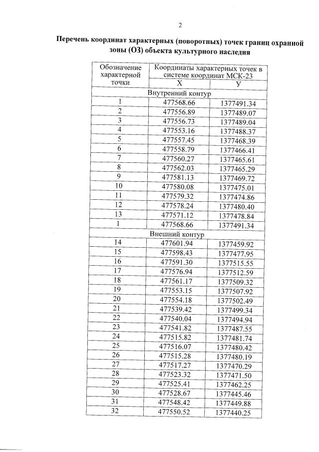
"Об установлении зон охраны, утверждении режимов использования земель и требований к градостроительным регламентам в границах территорий данных зон объекта культурного наследия регионального значения "Дом жилой", начало XX в., Краснодарский край, г. Краснодар, угол улицы им. Гоголя, 33 и улицы им. Кирова, 48, лит. А и "Дом жилой", 1914 г., Краснодарский край, г. Краснодар, ул. им. Гоголя, 40, лит. А"
Номер опубликования: 2301202207120019
Дата опубликования: 12.07.2022
Страница №4 из 15:
Увеличить