Официальное опубликование правовых актов
ОФИЦИАЛЬНОЕ ОПУБЛИКОВАНИЕ
Приказ администрации Краснодарского края от 29.06.2022 № 497-КН
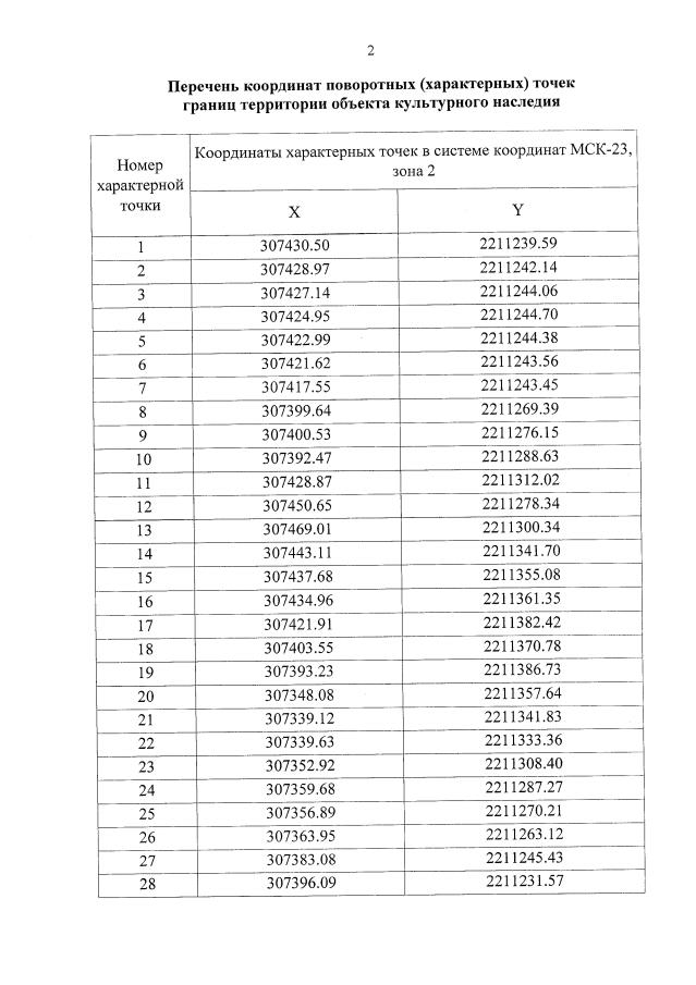
"О включении выявленного объекта культурного наследия "Ансамбль санатория "Кудепста": Главный корпус, Спальный корпус, Водолечебница, Парк", 1950-е годы, Краснодарский край, г. Сочи, Хостинский район, Сухумское шоссе, 33, Лит. А, Лит. Б, Лит. В, в единый государственный реестр объектов культурного наследия (памятников истории и культуры) народов Российской Федерации в качестве объекта культурного наследия регионального значения, утверждении его границ и режима использования территории"
Номер опубликования: 2301202207050002
Дата опубликования: 05.07.2022
Страница №4 из 7:
Увеличить