Официальное опубликование правовых актов
ОФИЦИАЛЬНОЕ ОПУБЛИКОВАНИЕ
Приказ администрации Краснодарского края от 24.05.2022 № 392-КН
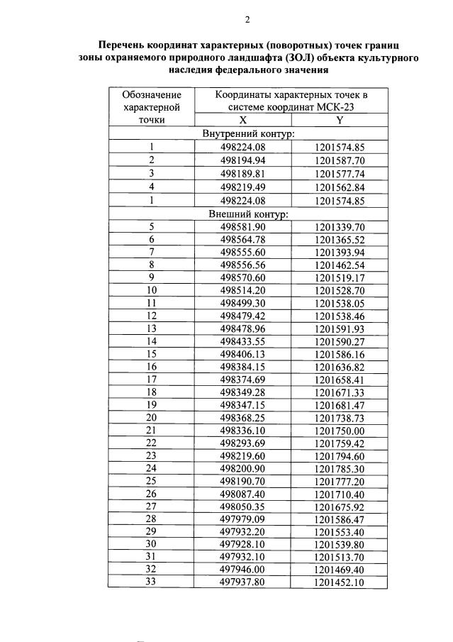
"Об установлении зон охраны, режимов использования земель и требований к градостроительным регламентам в границах территорий данных зон объекта культурного наследия федерального значения "Турецкие колодцы", XV в., Краснодарский край, Темрюкский район, станица Тамань"
Номер опубликования: 2301202205300006
Дата опубликования: 30.05.2022
Страница №4 из 7:
Увеличить