Официальное опубликование правовых актов
ОФИЦИАЛЬНОЕ ОПУБЛИКОВАНИЕ
Приказ администрации Краснодарского края от 19.05.2022 № 384-КН
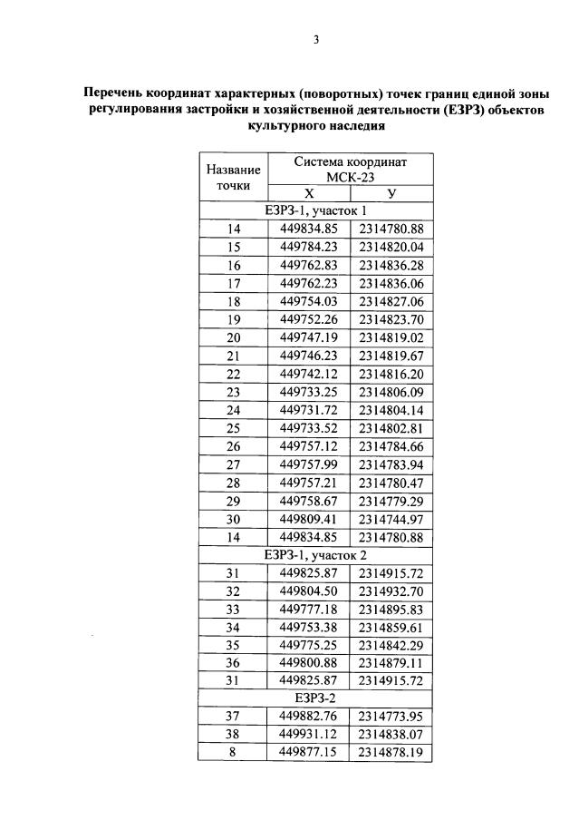
"Об утверждении границ и режима использования территории, установлении границ объединенных зон охраны и утверждении режимов использования земель и требований к градостроительным регламентам в границах территорий данных зон объектов культурного наследия регионального значения "Братская могила воинов, погибших в годы гражданской и Великой Отечественной войн", 1919 г., 1943 г.; "Братская могила воинов, погибших в годы гражданской и Великой Отечественной войн", 1918 - 1920 годы, 1943 г.; "Братская могила воинов, погибших в годы гражданской и Великой Отечественной войн", 1918 - 1920 гг. 1942 - 1943 гг.; "Братская могила 22 советских воинов, погибших в боях с фашистскими захватчиками", август 1942 г., расположенных по адресу: Краснодарский край. Новокубанский район, ст-ца Советская, ул. Ленина (центральный парк)"
Номер опубликования: 2301202205260006
Дата опубликования: 26.05.2022
Страница №9 из 15:
Увеличить