Официальное опубликование правовых актов
ОФИЦИАЛЬНОЕ ОПУБЛИКОВАНИЕ
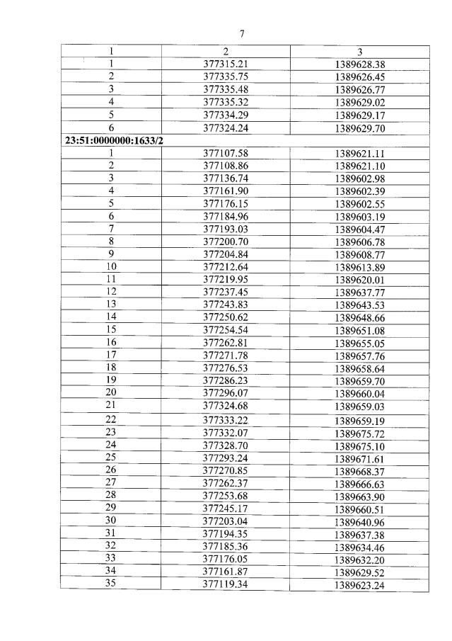
Приказ министерства природных ресурсов Краснодарского края от 18.03.2022 № 391
"О внесении изменения в приказ министерства природных ресурсов Краснодарского края от 23 мая 2018 г. № 771 "Об установлении границ лесопарковых зеленых поясов города Новороссийска, поселка городского типа Мостовской Мостовского района, города Туапсе Туапсинского района, города Краснодара"
Номер опубликования: 2301202203250001
Дата опубликования: 25.03.2022
Страница №8 из 33:
Увеличить