Официальное опубликование правовых актов
ОФИЦИАЛЬНОЕ ОПУБЛИКОВАНИЕ
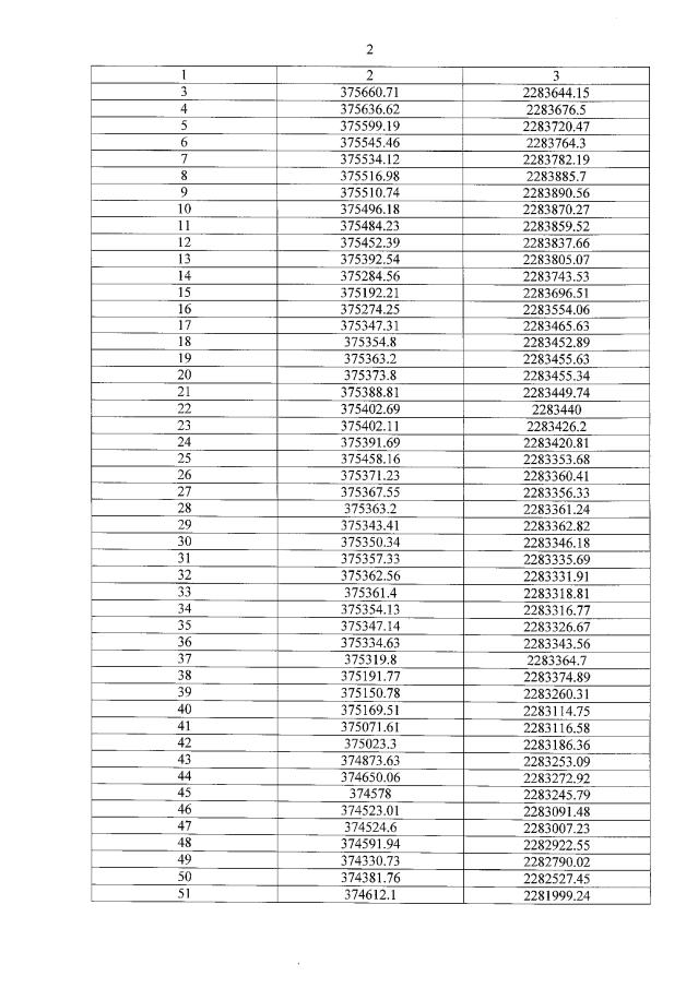
Приказ министерства природных ресурсов Краснодарского края от 15.03.2022 № 364
"Об установлении границ лесопаркового зеленого пояса поселка городского типа Псебай Мостовского района"
Номер опубликования: 2301202203220009
Дата опубликования: 22.03.2022
Страница №3 из 14:
Увеличить