Официальное опубликование правовых актов
ОФИЦИАЛЬНОЕ ОПУБЛИКОВАНИЕ
Приказ администрации Краснодарского края от 14.03.2022 № 220-КН
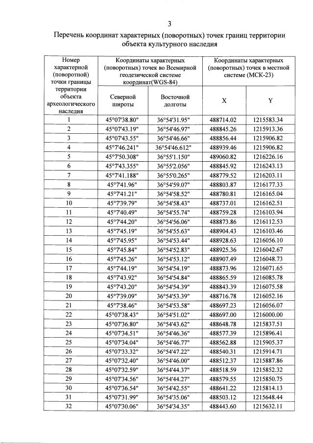
"Об утверждении границ и режима использования территории выявленного объекта культурного наследия "Поселение "Веселовка 24", Краснодарский край, Темрюкский район, пос. Веселовка, юго-восточная окраина поселка, к западу от СТФ"
Номер опубликования: 2301202203210007
Дата опубликования: 21.03.2022
Страница №5 из 7:
Увеличить