Официальное опубликование правовых актов
ОФИЦИАЛЬНОЕ ОПУБЛИКОВАНИЕ
Приказ администрации Краснодарского края от 24.02.2022 № 157-КН
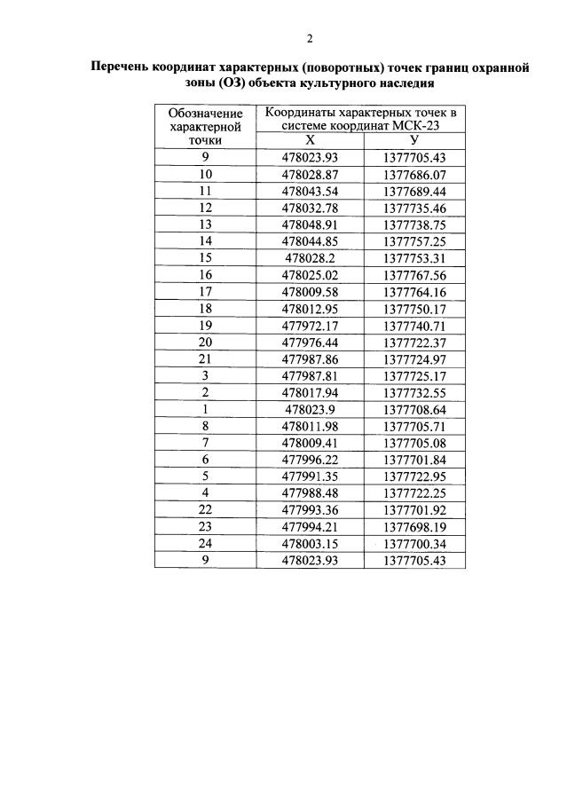
"Об установлении зон охраны, утверждении режимов использования земель и требований к градостроительным регламентам в границах территорий данных зон объекта культурного наследия регионального значения "Усадьба землемера И.Н. Воробьева", 1900 - 1908 годы, Краснодарский край, г. Краснодар, угол ул. им. Максима Горького, 78 и ул. Октябрьской, 133, лит. А (а также входящих в его состав объектов культурного наследия: "Дом жилой", 1900 - 1908 годы и "Ворота", 1900 - 1908 годы, расположенных по адресу: Краснодарский край, г. Краснодар, угол ул. им. Максима Горького, 78 и ул. Октябрьской, 133, лит. А)"
Номер опубликования: 2301202203030009
Дата опубликования: 03.03.2022
Страница №4 из 13:
Увеличить