Официальное опубликование правовых актов
ОФИЦИАЛЬНОЕ ОПУБЛИКОВАНИЕ
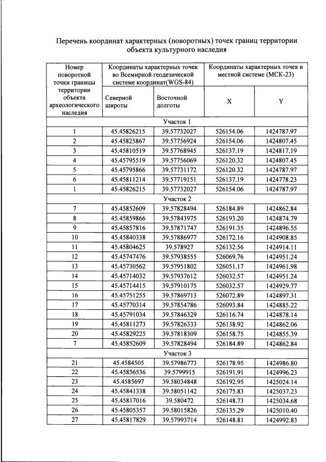
Приказ администрации Краснодарского края от 23.12.2021 № 1028-КН
"Об утверждении границ и режима использования территорий некоторых объектов культурного наследия федерального значения, расположенных на территории муниципального образования Кореновский район Краснодарского края"
Номер опубликования: 2301202112280012
Дата опубликования: 28.12.2021
Страница №6 из 20:
Увеличить