Официальное опубликование правовых актов
ОФИЦИАЛЬНОЕ ОПУБЛИКОВАНИЕ
Приказ администрации Краснодарского края от 20.12.2021 № 1010-КН
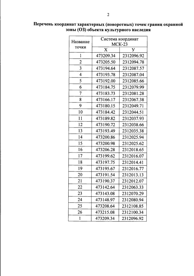
"Об утверждении границ и режима использования территории, а также установлении зон охраны, утверждении режимов использования земель и требований к градостроительным регламентам в границах территорий данных зон объекта культурного наследия регионального значения "Первое училище Общества попечения о детях", 1892 г., Краснодарский край, г. Армавир, угол ул. Урицкого, 74 и ул. Мира, 81"
Номер опубликования: 2301202112270010
Дата опубликования: 27.12.2021
Страница №8 из 16:
Увеличить