Официальное опубликование правовых актов
ОФИЦИАЛЬНОЕ ОПУБЛИКОВАНИЕ
Приказ администрации Краснодарского края от 20.12.2021 № 1008-КН
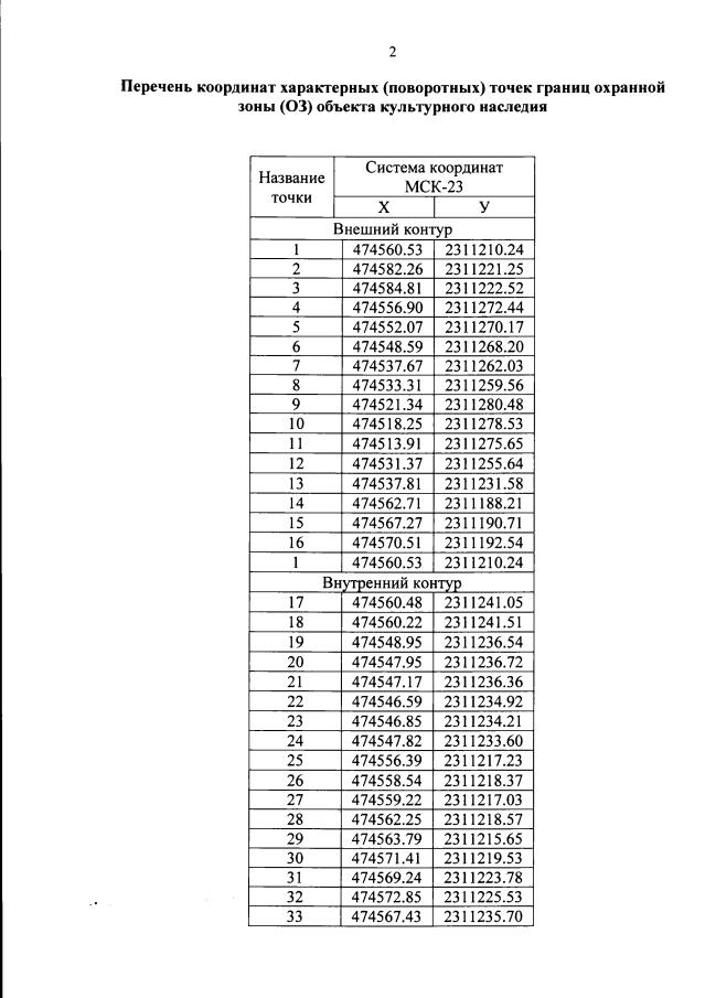
"Об утверждении границ и режима использования территории, а также установлении зон охраны, утверждении режимов использования земель и требований к градостроительным регламентам в границах территорий данных зон объекта культурного наследия регионального значения "Дом жилой с мыловаренным заводом в подвале М.И. Баронова", около 1910 г., Краснодарский край, г. Армавир, ул. Р. Люксембург, 101"
Номер опубликования: 2301202112270007
Дата опубликования: 27.12.2021
Страница №8 из 14:
Увеличить