Официальное опубликование правовых актов
ОФИЦИАЛЬНОЕ ОПУБЛИКОВАНИЕ
Приказ администрации Краснодарского края от 20.12.2021 № 1012-КН
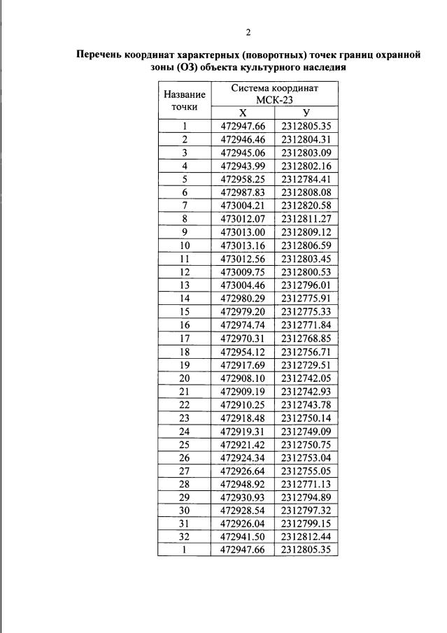
"Об утверждении границ и режима использования территории, а также установлении зон охраны, утверждении режимов использования земель и требований к градостроительным регламентам в границах территорий данных зон объекта культурного наследия регионального значения "Татарская мечеть", 1908 г., Краснодарский край, г. Армавир, ул. Пугачева, 23"
Номер опубликования: 2301202112270002
Дата опубликования: 27.12.2021
Страница №8 из 17:
Увеличить