Официальное опубликование правовых актов
ОФИЦИАЛЬНОЕ ОПУБЛИКОВАНИЕ
Приказ администрации Краснодарского края от 15.12.2021 № 984-КН
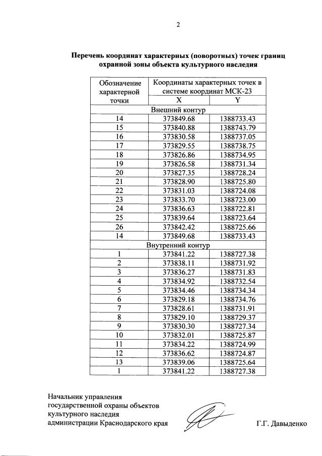
"Об утверждении границ и режима использования территории, а также зон охраны, режимов использования земель и требований к градостроительным регламентам в границах территорий данных зон объекта культурного наследия регионального значения "Памятный знак рабочим машиностроительного завода, погибшим в годы Великой Отечественной войны", 1967 г., Краснодарский край, Туапсинский район, г. Туапсе, ул. Индустриальная, 17 а"
Номер опубликования: 2301202112220033
Дата опубликования: 22.12.2021
Страница №9 из 12:
Увеличить