Официальное опубликование правовых актов
ОФИЦИАЛЬНОЕ ОПУБЛИКОВАНИЕ
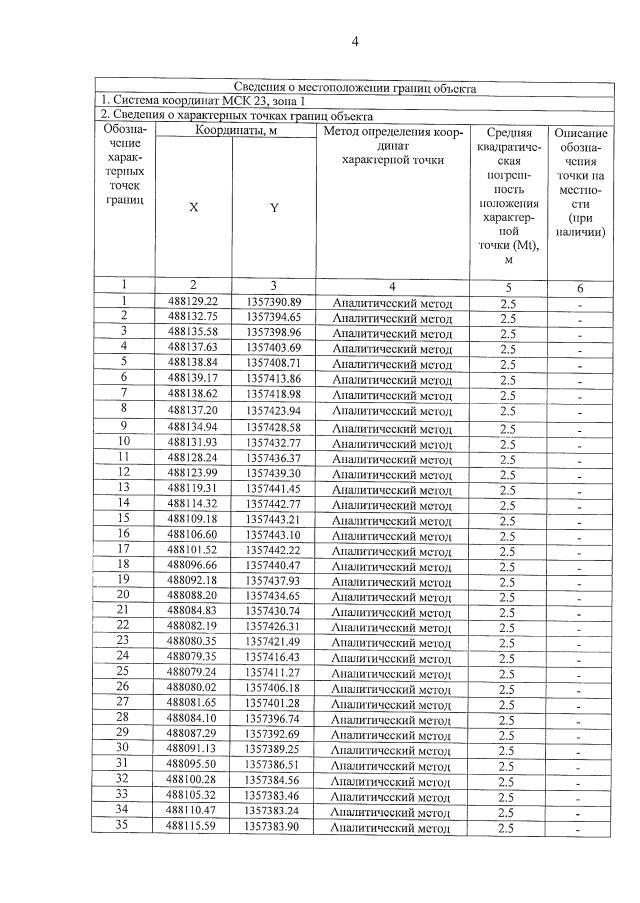
Приказ министерства природных ресурсов Краснодарского края от 18.11.2021 № 1745
"Об изменении зон санитарной охраны источника питьевого и хозяйственно-бытового водоснабжения общества с ограниченной ответственностью "Маркор" в муниципальном образовании Красноармейский район"
Номер опубликования: 2301202111250003
Дата опубликования: 25.11.2021
Страница №6 из 14:
Увеличить