Официальное опубликование правовых актов
ОФИЦИАЛЬНОЕ ОПУБЛИКОВАНИЕ
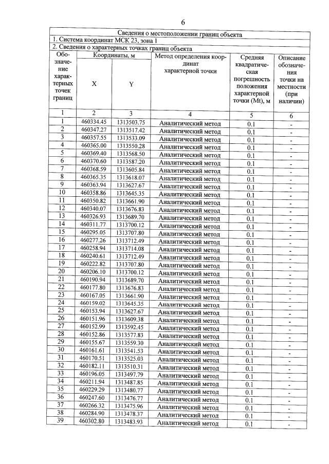
Приказ министерства природных ресурсов Краснодарского края от 18.11.2021 № 1743
"Об установлении зон санитарной охраны источников питьевого и хозяйственно-бытового водоснабжения общества с ограниченной ответственностью "Маслозавод "Абинский" в муниципальном образовании Абинский район"
Номер опубликования: 2301202111250002
Дата опубликования: 25.11.2021
Страница №8 из 12:
Увеличить