Официальное опубликование правовых актов
ОФИЦИАЛЬНОЕ ОПУБЛИКОВАНИЕ
Приказ администрации Краснодарского края от 09.11.2021 № 852-КН
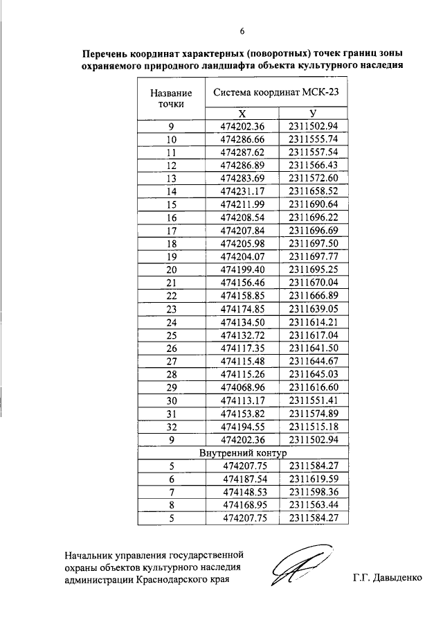
"Об утверждении границ и режима использования территории, а также установлении зон охраны, утверждении режимов использования земель и требований к градостроительным регламентам в границах территорий данных зон объекта культурного наследия регионального значения "Братская могила партизан и советских воинов, погибших в боях с фашистскими захватчиками. Здесь похоронен герой гражданской войны комбриг 1-й Конной армии И.А. Трутнев (1878-1943), погибших в борьбе с фашистами", 1942-1943 годы, Краснодарский край, г. Армавир, между ул. Комсомольской, ул. К. Либкнехта, ул. Р. Люксембург и ул. К. Маркса, парк "30-летия Победы"
Номер опубликования: 2301202111160002
Дата опубликования: 16.11.2021
Страница №14 из 22:
Увеличить