Официальное опубликование правовых актов
ОФИЦИАЛЬНОЕ ОПУБЛИКОВАНИЕ
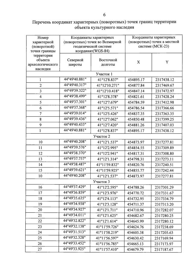
Приказ администрации Краснодарского края от 25.10.2021 № 829-КН
"Об утверждении границ и режима использования территорий некоторых выявленных объектов культурного наследия, расположенных на территории муниципального образования город Армавир Краснодарского края"
Номер опубликования: 2301202110290005
Дата опубликования: 29.10.2021
Страница №18 из 21:
Увеличить