Официальное опубликование правовых актов
ОФИЦИАЛЬНОЕ ОПУБЛИКОВАНИЕ
Приказ администрации Краснодарского края от 15.10.2021 № 822-КН
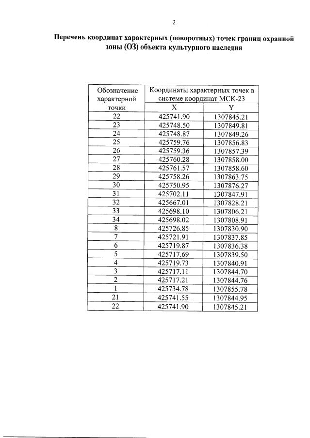
"Об утверждении границ и режима использования территории, а также зон охраны, режимов использования земель и требований к градостроительным регламентам в границах территорий данных зон объекта культурного наследия регионального значения "Здание, где в ремесленной школе преподавал слесарное дело Г.М. Седин", 1912-1914 годы, Краснодарский край, город-курорт Геленджик, угол ул. Ленина, 25 и ул. Серафимовича, 2"
Номер опубликования: 2301202110220003
Дата опубликования: 22.10.2021
Страница №8 из 15:
Увеличить