Официальное опубликование правовых актов
ОФИЦИАЛЬНОЕ ОПУБЛИКОВАНИЕ
Приказ администрации Краснодарского края от 15.10.2021 № 821-КН
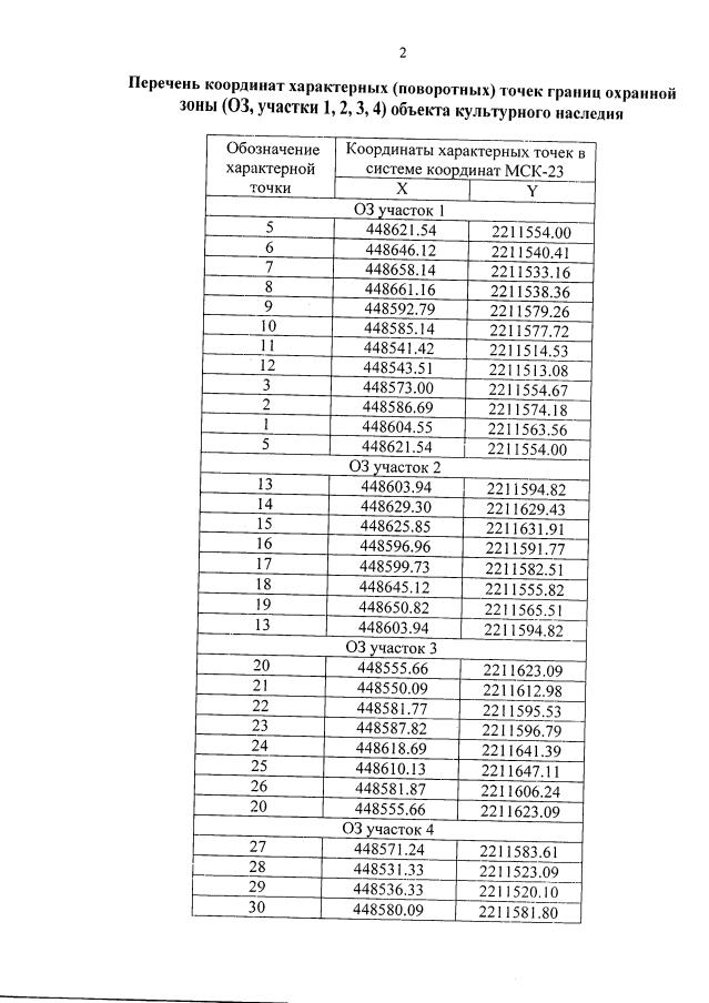
"Об утверждении границ и режима использования территории, а также зон охраны, режимов использования земель и требований к градостроительным регламентам в границах территорий данных зон объекта культурного наследия регионального значения "Дом священника", Краснодарский край, Белореченский район, г. Белореченск, ул. Шалимова, 13"
Номер опубликования: 2301202110220002
Дата опубликования: 22.10.2021
Страница №8 из 14:
Увеличить