Официальное опубликование правовых актов
ОФИЦИАЛЬНОЕ ОПУБЛИКОВАНИЕ
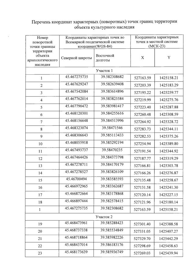
Приказ администрации Краснодарского края от 12.10.2021 № 810-КН
"Об утверждении границ и режима использования территорий некоторых объектов культурного наследия федерального значения, расположенных на территории муниципального образования Кореновский район Краснодарского края"
Номер опубликования: 2301202110190006
Дата опубликования: 19.10.2021
Страница №7 из 31:
Увеличить